Căn cứ vào Văn bản hợp nhất số 67/VBHN-BTC và Nghị định số 209/2013/NĐ-CP, hãy cùng Kế toán Minh Huy đi tìm hiểu về thuế GTGT là gì? Cách tính thuế GTGT như thế nào?
1. Thuế GTGT là gì?
Thuế giá trị gia tăng là loại thuế gián thu, được cộng vào giá bán hàng hóa, dịch vụ và do người tiêu dùng trả khi sử dụng sản phẩm đó. Mặc dù người tiêu dùng mới chính là người chi trả thuế giá trị gia tăng, nhưng người trực tiếp thực hiện nghĩa vụ đóng thuế với Nhà nước lại là đơn vị sản xuất, kinh doanh.
2. Đối tượng chịu thuế
Đối tượng chịu thuế giá trị gia tăng (GTGT) là hàng hóa, dịch vụ dùng cho sản xuất, kinh doanh và tiêu dùng ở Việt Nam (bao gồm cả hàng hóa, dịch vụ mua của tổ chức, cá nhân ở nước ngoài), trừ các đối tượng không chịu thuế GTGT theo quy định.
3. Người nộp thuế
Người nộp thuế GTGT là tổ chức, cá nhân sản xuất, kinh doanh hàng hóa, dịch vụ chịu thuế GTGT ở Việt Nam, không phân biệt ngành nghề, hình thức, tổ chức kinh doanh (sau đây gọi là cơ sở kinh doanh) và tổ chức, cá nhân nhập khẩu hàng hóa, mua dịch vụ từ nước ngoài chịu thuế GTGT (sau đây gọi là người nhập khẩu) bao gồm:
– Các tổ chức kinh doanh được thành lập và đăng ký kinh doanh theo Luật Doanh nghiệp, Luật Doanh nghiệp Nhà nước (nay là Luật Doanh nghiệp), Luật Hợp tác xã và pháp luật kinh doanh chuyên ngành khác;
– Các tổ chức kinh tế của tổ chức chính trị, tổ chức chính trị – xã hội, tổ chức xã hội, tổ chức xã hội – nghề nghiệp, đơn vị vũ trang nhân dân, tổ chức sự nghiệp và các tổ chức khác;
– Các doanh nghiệp có vốn đầu tư nước ngoài và bên nước ngoài tham gia hợp tác kinh doanh theo Luật đầu tư nước ngoài tại Việt Nam (nay là Luật đầu tư); các tổ chức, cá nhân nước ngoài hoạt động kinh doanh ở Việt Nam nhưng không thành lập pháp nhân tại Việt Nam;
– Cá nhân, hộ gia đình, nhóm người kinh doanh độc lập và các đối tượng khác có hoạt động sản xuất, kinh doanh, nhập khẩu;
– Tổ chức, cá nhân sản xuất kinh doanh tại Việt Nam mua dịch vụ (kể cả trường hợp mua dịch vụ gắn với hàng hóa) của tổ chức nước ngoài không có cơ sở thường trú tại Việt Nam, cá nhân ở nước ngoài là đối tượng không cư trú tại Việt Nam thì tổ chức, cá nhân mua dịch vụ là người nộp thuế, trừ trường hợp không phải kê khai, tính nộp thuế GTGT hướng dẫn theo quy định.
– Chi nhánh của doanh nghiệp chế xuất được thành lập đề hoạt động mua bán hàng hóa và các hoạt động liên quan trực tiếp đến mua bán hàng hóa tại Việt Nam theo quy định của pháp luật về khu công nghiệp, khu chế xuất và khu kinh tế.
Ví dụ: Công ty TNHH Minh Huy là doanh nghiệp chế xuất. Ngoài hoạt động sản xuất để xuất khẩu Công ty TNHH Minh Huy còn được cấp phép thực hiện quyền nhập khẩu để bán ra hoặc để xuất khẩu, Công ty TNHH Minh Huy phải thành lập chi nhánh để thực hiện hoạt động này theo quy định của pháp luật thì Chi nhánh hạch toán riêng và kê khai, nộp thuế GTGT riêng đối với hoạt động này, không hạch toán chung vào hoạt động sản xuất để xuất khẩu. Khi nhập khẩu hàng hóa để thực hiện phân phối (bán ra), Chi nhánh Công ty TNHH Minh Huy thực hiện kê khai, nộp thuế GTGT ở khâu nhập khẩu và khi bán ra (bao gồm cả xuất khẩu), Công ty TNHH Minh Huy sử dụng hóa đơn, kê khai, nộp thuế GTGT theo quy định.
4. Đối tượng không chịu thuế GTGT
– Sản phẩm trồng trọt (bao gồm cả sản phẩm rừng trồng), chăn nuôi, thủy sản, hải sản nuôi trồng, đánh bắt chưa chế biến thành các sản phẩm khác hoặc chỉ qua sơ chế thông thường của tổ chức, cá nhân tự sản xuất, đánh bắt bán ra và ở khâu nhập khẩu.
+ Các sản phẩm mới qua sơ chế thông thường là sản phẩm mới được làm sạch, phơi, sấy khô, bóc vỏ, xay, xay bỏ vỏ, xát bỏ vỏ, tách hạt, tách cọng, cắt, ướp muối, bảo quản lạnh (ướp lạnh, đông lạnh), bảo quản bằng khí sunfuro, bảo quản theo phương thức cho hóa chất để tránh thối rữa, ngâm trong dung dịch lưu huỳnh hoặc ngâm trong dung dịch bảo quản khác và các hình thức bảo quản thông thường khác.
Ví dụ: Công ty Minh Huy ký hợp đồng nuôi heo với Công ty M theo hình thức Công ty M giao cho Công ty Minh Huy con giống, thức ăn, thuốc thú y, Công ty Minh Huy giao, bán cho Công ty M sản phẩm heo thì tiền công nuôi heo nhận từ Công ty M và sản phẩm heo Công ty Minh Huy giao, bán cho Công ty M thuộc đối tượng không chịu thuế GTGT.
+ Sản phẩm heo Công ty M nhận lại từ Công ty Minh Huy: nếu Công ty M bán ra heo (nguyên con) hoặc thịt heo tươi sống thì sản phẩm bán ra thuộc đối tượng không chịu thuế GTGT, nếu Công ty M đưa heo vào chế biến thành sản phẩm như xúc xích, thịt hun khói, giò hoặc thành các sản phẩm chế biến khác thì sản phẩm bán ra thuộc đối tượng chịu thuế GTGT theo quy định.
– Sản phẩm là giống vật nuôi, giống cây trồng, bao gồm trứng giống, con giống, cây giống, hạt giống, cành giống, củ giống, tinh dịch, phôi, vật liệu di truyền ở các khâu nuôi trồng, nhập khẩu và kinh doanh thương mại. Sản phẩm giống vật nuôi, giống cây trồng thuộc đối tượng không chịu thuế GTGT là sản phẩm do các cơ sở nhập khẩu, kinh doanh thương mại có giấy đăng ký kinh doanh giống vật nuôi, giống cây trồng do cơ quan quản lý nhà nước cấp. Đối với sản phẩm là giống vật nuôi, giống cây trồng thuộc loại Nhà nước ban hành tiêu chuẩn, chất lượng phải đáp ứng các điều kiện do nhà nước quy định.
– Tưới, tiêu nước; cày, bừa đất; nạo vét kênh, mương nội đồng phục vụ sản xuất nông nghiệp; dịch vụ thu hoạch sản phẩm nông nghiệp.
– Sản phẩm muối được sản xuất từ nước biển, muối mỏ tự nhiên, muối tinh, muối i-ốt mà thành phần chính là Na-tri-clo-rua (NaCl).
– Nhà ở thuộc sở hữu nhà nước do Nhà nước bán cho người đang thuế.
– Chuyển quyền sử dụng đất.
– Bảo hiểm nhân thọ, bảo hiểm sức khoẻ, bảo hiểm người học, các dịch vụ bảo hiểm khác liên quan đến con người; bảo hiểm vật nuôi, bảo hiểm cây trồng, các dịch vụ bảo hiểm nông nghiệp khác; bảo hiểm tàu, thuyền, trang thiết bị và các dụng cụ cần thiết khác phục vụ trực tiếp đánh bắt thủy sản; tái bảo hiểm.
– Các dịch vụ tài chính, ngân hàng, kinh doanh chứng khoán
Ví dụ: Tháng 05/07/2020, doanh nghiệp Minh Huy là cơ sở kinh doanh nộp thuế GTGT theo phương pháp khấu trừ thế chấp dây chuyền, máy móc thiết bị để vay vốn tại ngân hàng A, thời gian vay là 1 năm (hạn trả nợ là ngày 04/07/2021). Đến ngày 04/07/2021, doanh nghiệp Minh Huy không có khả năng trả nợ và phải bàn giao tài sản cho ngân hàng A thì khi bàn giao tài sản, doanh nghiệp Minh Huy không phải lập hóa đơn. Ngân hàng A bán tài sản bảo đảm tiền vay để thu hồi nợ thì tài sản bán ra thuộc đối tượng không chịu thuế GTGT.
– Dịch vụ y tế, dịch vụ thú y, bao gồm dịch vụ khám bệnh, chữa bệnh, phòng bệnh cho người và vật nuôi, dịch vụ sinh đẻ có kế hoạch, dịch vụ điều dưỡng sức khoẻ, phục hồi chức năng cho người bệnh, dịch vụ chăm sóc người cao tuổi, người khuyết tật; vận chuyển người bệnh, dịch vụ cho thuê phòng bệnh, giường bệnh của các cơ sở y tế; xét nghiệm, chiếu, chụp, máu và chế phẩm máu dùng cho người bệnh.
+ Dịch vụ chăm sóc người cao tuổi, người khuyết tật bao gồm cả chăm sóc về y tế, dinh dưỡng và tổ chức các hoạt động văn hóa, thể thao, giải trí, vật lý trị liệu, phục hồi chức năng cho người cao tuổi, người khuyết tật.
+ Trường hợp trong gói dịch vụ chữa bệnh (theo quy định của Bộ Y tế) bao gồm cả sử dụng thuốc chữa bệnh thì khoản thu từ tiền thuốc chữa bệnh nằm trong gói dịch vụ chữa bệnh cũng thuộc đối tượng không chịu thuế GTGT.
– Dịch vụ bưu chính, viễn thông công ích và Internet phổ cập theo chương trình của Chính phủ; Dịch vụ bưu chính, viễn thông từ nước ngoài vào Việt Nam (chiều đến).
– Dịch vụ duy trì vườn thú, vườn hoa, công viên, cây xanh đường phố, chiếu sáng công cộng; dịch vụ tang lễ. Các dịch vụ nêu tại khoản này không phân biệt nguồn kinh phí chi trả.
– Duy tu, sửa chữa, xây dựng bằng nguồn vốn đóng góp của nhân dân (bao gồm cả vốn đóng góp, tài trợ của tổ chức, cá nhân), vốn viện trợ nhân đạo đối với các công trình văn hóa, nghệ thuật, công trình phục vụ công cộng, cơ sở hạ tầng và nhà ở cho đối tượng chính sách xã hội.
– Dạy học, dạy nghề theo quy định của pháp luật bao gồm cả dạy ngoại ngữ, tin học; dạy múa, hát, hội họa, nhạc, kịch, xiếc, thể dục, thể thao; nuôi dạy trẻ và dạy các nghề khác nhằm đào tạo, bồi dưỡng nâng cao trình độ văn hóa, kiến thức chuyên môn nghề nghiệp.
Ví dụ: Trung tâm đào tạo X được cấp có thẩm quyền giao nhiệm vụ đào tạo để cấp chứng chỉ hành nghề về đại lý bảo hiểm. Trung tâm đào tạo X giao nhiệm vụ đào tạo cho đơn vị Y thực hiện, Trung tâm đào tạo X tổ chức thi và cấp chứng chỉ hành nghề đại lý bảo hiểm thì hoạt động tổ chức thi và cấp chứng chỉ của Trung tâm đào tạo X thuộc đối tượng không chịu thuế GTGT,
– Phát sóng truyền thanh, truyền hình bằng nguồn vốn ngân sách nhà nước.
– Xuất bản, nhập khẩu, phát hành báo, tạp chí, bản tin chuyên ngành, sách chính trị, sách giáo khoa, giáo trình, sách văn bản pháp luật, sách khoa học- kỹ thuật, sách in bằng chữ dân tộc thiểu số và tranh, ảnh, áp phích tuyên truyền cổ động, kể cả dưới dạng băng hoặc đĩa ghi tiếng, ghi hình, dữ liệu điện tử; tiền, in tiền.
– Vận chuyển hành khách công cộng gồm vận chuyển hành khách công cộng bằng xe buýt, xe điện (bao gồm cả tàu điện) theo các tuyến trong nội tỉnh, trong đô thị và các tuyến lân cận ngoại tỉnh theo quy định của pháp luật về giao thông.
– Hàng hóa thuộc loại trong nước chưa sản xuất được nhập khẩu trong các trường hợp sau:
+ Máy móc, thiết bị, phụ tùng, vật tư nhập khẩu để sử dụng trực tiếp cho hoạt động nghiên cứu khoa học, phát triển công nghệ;
+ Máy móc, thiết bị, phụ tùng thay thế, phương tiện vận tải chuyên dùng và vật tư cần nhập khẩu để tiến hành hoạt động tìm kiếm thăm dò, phát triển mỏ dầu, khí đốt;
+ Tàu bay (bao gồm cả động cơ tàu bay), dàn khoan, tàu thủy thuộc loại trong nước chưa sản xuất được nhập khẩu để tạo tài sản cố định của doanh nghiệp hoặc thuế của nước ngoài để sử dụng cho sản xuất, kinh doanh, cho thuê, cho thuê lại.
– Vũ khí, khí tài chuyên dùng phục vụ quốc phòng, an ninh.
– Hàng nhập khẩu và hàng hóa, dịch vụ bán cho các tổ chức, cá nhân để viện trợ nhân đạo, viện trợ không hoàn lại trong các trường hợp sau:
– Hàng hóa chuyển khẩu, quá cảnh qua lãnh thổ Việt Nam; hàng tạm nhập khẩu, tái xuất khẩu; hàng tạm xuất khẩu, tái nhập khẩu; nguyên liệu, vật tư nhập khẩu để sản xuất, gia công hàng hóa xuất khẩu theo hợp đồng sản xuất, gia công xuất khẩu ký kết với bên nước ngoài.
– Chuyển giao công nghệ theo quy định của Luật chuyển giao công nghệ; chuyển nhượng quyền sở hữu trí tuệ theo quy định của Luật sở hữu trí tuệ. Phần mềm máy tính bao gồm sản phẩm phần mềm và dịch vụ phần mềm theo quy định của pháp luật.
– Vàng nhập khẩu dạng thỏi, miếng và các loại vàng chưa được chế tác thành sản phẩm mỹ nghệ, đồ trang sức hay sản phẩm khác.
– Sản phẩm xuất khẩu là tài nguyên, khoáng sản khai thác chưa chế biến thành sản phẩm khác.
– Sản phẩm nhân tạo dùng để thay thế cho bộ phận cơ thể của người bệnh, bao gồm cả sản phẩm là bộ phận cấy ghép lâu dài trong cơ thể người; nạng, xe lăn và dụng cụ chuyên dùng khác dùng cho người tàn tật.
– Hàng hóa, dịch vụ của hộ, cá nhân kinh doanh có mức doanh thu hàng năm từ một trăm triệu đồng trở xuống.
5. Các trường hợp không phải kê khai, tính nộp thuế GTGT
– Tổ chức, cá nhân nhận các khoản thu về bồi thường bằng tiền (bao gồm cả tiền bồi thường về đất và tài sản trên đất khi bị thu hồi đất theo quyết định của cơ quan Nhà nước có thẩm quyền), tiền thưởng, tiền hỗ trợ, tiền chuyển nhượng quyền phát thải và các khoản thu tài chính khác.
+ Cơ sở kinh doanh khi nhận khoản tiền thu về bồi thường, tiền thưởng, tiền hỗ trợ nhận được, tiền chuyển nhượng quyền phát thải và các khoản thu tài chính khác thì lập chứng từ thu theo quy định. Đối với cơ sở kinh doanh chi tiền, căn cứ mục đích chi để lập chứng từ chi tiền.
+ Trường hợp bồi thường bằng hàng hóa, dịch vụ, cơ sở bồi thường phải lập hóa đơn và kê khai, tính, nộp thuế GTGT như đối với bán hàng hóa, dịch vụ; cơ sở nhận bồi thường kê khai, khấu trừ theo quy định.
+ Trường hợp cơ sở kinh doanh nhận tiền của tổ chức, cá nhân để thực hiện dịch vụ cho tổ chức, cá nhân như sửa chữa, bảo hành, khuyến mại, quảng cáo thì phải kê khai, nộp thuế theo quy định.
Ví dụ 1: Doanh nghiệp Minh Huy nhận được khoản bồi thường thiệt hại do bị hủy hợp đồng từ doanh nghiệp A là 50 triệu đồng thì doanh nghiệp Minh Huy lập chứng từ thu và không phải kê khai, nộp thuế GTGT đối với khoản tiền trên.
Ví dụ 2: Doanh nghiệp Minh Huy mua hàng của doanh nghiệp B, doanh nghiệp Minh Huy có ứng trước cho doanh nghiệp B một khoản tiền và được doanh nghiệp Minh Huy trả lãi cho khoản tiền ứng trước đó thì doanh nghiệp Minh Huy không phải kê khai, nộp thuế GTGT đối với khoản lãi nhận được.
– Tổ chức, cá nhân sản xuất, kinh doanh tại Việt Nam mua dịch vụ của tổ chức nước ngoài không có cơ sở thường trú tại Việt Nam, cá nhân ở nước ngoài là đối tượng không cư trú tại Việt Nam, bao gồm các trường hợp: sửa chữa phương tiện vận tải, máy móc, thiết bị (bao gồm cả vật tư, phụ tùng thay thế); quảng cáo, tiếp thị; xúc tiến đầu tư và thương mại; môi giới bán hàng hóa, cung cấp dịch vụ ra nước ngoài; đào tạo; chia cước dịch vụ bưu chính, viễn thông quốc tế giữa Việt Nam với nước ngoài mà các dịch vụ này được thực hiện ở ngoài Việt Nam, dịch vụ thuê đường truyền dẫn và băng tần vệ tinh của nước ngoài theo quy định của pháp luật.
– Tổ chức, cá nhân không kinh doanh, không phải là người nộp thuế GTGT bán tài sản.
Ví dụ: Ông Huy là cá nhân không kinh doanh bán 01 ô tô 4 chỗ ngồi cho ông Minh với giá là 400 triệu đồng thì ông Huy không phải kê khai, tính thuế GTGT đối với số tiền bán ô tô thu được.
– Tổ chức, cá nhân chuyển nhượng dự án đầu tư để sản xuất, kinh doanh hàng hóa, dịch vụ chịu thuế giá trị gia tăng cho doanh nghiệp, hợp tác xã.
– Doanh nghiệp, hợp tác xã nộp thuế GTGT theo phương pháp khấu trừ bán sản phẩm trồng trọt, chăn nuôi, thủy sản, hải sản chưa chế biến thành các sản phẩm khác hoặc chỉ qua sơ chế thông thường cho doanh nghiệp, hợp tác xã ở khâu kinh doanh thương mại không phải kê khai, tính nộp thuế GTGT. Trên hóa đơn GTGT, ghi dòng giá bán là giá không có thuế GTGT, dòng thuế suất và thuế GTGT không ghi, gạch bỏ.
– Tài sản cố định đang sử dụng, đã thực hiện trích khấu hao khi điều chuyển theo giá trị ghi trên sổ sách kế toán giữa cơ sở kinh doanh và các đơn vị thành viên do một cơ sở kinh doanh sở hữu 100% vốn hoặc giữa các đơn vị thành viên do một cơ sở kinh doanh sở hữu 100% vốn để phục vụ cho hoạt động sản xuất, kinh doanh hàng hóa, dịch vụ chịu thuế GTGT thì không phải lập hóa đơn và kê khai, nộp thuế GTGT. Cơ sở kinh doanh có tài sản cố định điều chuyển phải có Quyết định hoặc Lệnh điều chuyển tài sản kèm theo bộ hồ sơ nguồn gốc tài sản.
6. Căn cứ tính thuế
Căn cứ tính thuế giá trị gia tăng là giá tính thuế và thuế suất.
7. Giá tính thuế
– Đối với hàng hóa, dịch vụ do cơ sở sản xuất, kinh doanh bán ra là giá bán chưa có thuế GTGT. Đối với hàng hóa, dịch vụ chịu thuế tiêu thụ đặc biệt là giá bán đã có thuế tiêu thụ đặc biệt nhưng chưa có thuế GTGT.
– Đối với hàng hóa chịu thuế bảo vệ môi trường là giá bán đã có thuế bảo vệ môi trường nhưng chưa có thuế giá trị gia tăng; đối với hàng hóa vừa chịu thuế tiêu thụ đặc biệt, vừa chịu thuế bảo vệ môi trường là giá bán đã có thuế tiêu thụ đặc biệt, thuế bảo vệ môi trường nhưng chưa có thuế giá trị gia tăng.
– Đối với hàng hóa nhập khẩu là giá nhập tại cửa khẩu cộng (+) với thuế nhập khẩu (nếu có), cộng (+) với thuế tiêu thụ đặc biệt (nếu có), cộng (+) với thuế bảo vệ môi trường (nếu có). Giá nhập tại cửa khẩu được xác định theo quy định về giá tính thuế hàng nhập khẩu. Trường hợp hàng hóa nhập khẩu được miễn, giảm thuế nhập khẩu thì giá tính thuế GTGT là giá nhập khẩu cộng (+) với thuế nhập khẩu xác định theo mức thuế phải nộp sau khi đã được miễn, giảm.
– Đối với sản phẩm, hàng hóa, dịch vụ (kể cả mua ngoài hoặc do cơ sở kinh doanh tự sản xuất) dùng để trao đổi, biếu, tặng, cho, trả thay lương, là giá tính thuế GTGT của hàng hóa, dịch vụ cùng loại hoặc tương đương tại thời điểm phát sinh các hoạt động này.
Ví dụ: Đơn vị Minh Huy sản xuất quạt điện, dùng 100 sản phẩm quạt để trao đối với cơ sở M lấy sắt thép, giá bán (chưa có thuế) là 350.000 đồng/chiếc. Giá tính thuế GTGT là 100 x 350.000 đồng = 35.000.000 đồng.
– Giá tính thuế đối với sản phẩm, hàng hoá, dịch vụ tiêu dùng nội bộ. Hàng hóa luân chuyển nội bộ như hàng hoá được xuất để chuyển kho nội bộ, xuất vật tư, bán thành phẩm, để tiếp tục quá trình sản xuất trong một cơ sở sản xuất, kinh doanh hoặc hàng hoá, dịch vụ do cơ sở kinh doanh xuất hoặc cung ứng sử dụng phục vụ hoạt động kinh doanh thì không phải tính, nộp thuế GTGT.
Ví dụ: Đơn vị Minh Huy là doanh nghiệp sản xuất quạt điện, dùng 100 sản phẩm quạt lắp vào các phân xưởng sản xuất để phục vụ hoạt động kinh doanh của đơn vị thị đơn vị Minh Huy không phải tính nộp thuế GTGT đối với hoạt động xuất 100 sản phẩm quạt điện này.
– Đối với sản phẩm, hàng hóa, dịch vụ dùng để khuyến mại theo quy định của pháp luật về thương mại, giá tính thuế được xác định bằng không (0); trường hợp hàng hóa, dịch vụ dùng để khuyến mại nhưng không thực hiện theo quy định của pháp luật về thương mại thì phải kê khai, tính nộp thuế như hàng hóa, dịch vụ dùng để tiêu dùng nội bộ, biếu, tặng, cho.
Ví dụ: Công ty TNHH Minh Huy sản xuất nước ngọt có ga, năm 2021 Công ty có thực hiện đợt khuyến mại vào tháng 3/2021 và tháng 6/2021 theo hình thức mua 20 sản phẩm tặng 2 sản phẩm. Chương trình khuyến mại vào tháng 3/2021 được thực hiện theo đúng trình tự, thủ tục khuyến mại được thực hiện theo quy định của pháp luật về thương mại. Theo đó, đối với số sản phẩm tặng kèm khi mua sản phẩm trong tháng 3/2021, Công ty TNHH Minh Huy xác định giá tính thuế bằng không (0).
– Đối với hoạt động cho thuê tài sản như cho thuê nhà, văn phòng, xưởng, kho tàng, bến, bãi, phương tiện vận chuyển, máy móc, thiết bị là số tiền cho thuê chưa có thuế GTGT.
– Đối với hàng hóa bán theo phương thức trả góp, trả chậm là giá tính theo giá bán trả một lần chưa có thuế GTGT của hàng hóa đó, không bao gồm khoản lãi trả góp, lãi trả chậm.
Ví dụ: Công ty Minh Huy kinh doanh xe máy bán xe X loại 100 cc, giá bán trả góp chưa có thuế GTGT là 25,5 triệu đồng/chiếc (trong đó giá bán xe là 25 triệu đồng, lãi trả góp là 0,5 triệu đồng) thì giá tính thuế GTGT là 25 triệu đồng.
– Đối với gia công hàng hóa là giá gia công theo hợp đồng gia công chưa có thuế GTGT, bao gồm cả tiền công, chi phí về nhiên liệu, động lực, vật liệu phụ và chi phí khác phục vụ cho việc gia công hàng hóa.
– Đối với xây dựng, lắp đặt, là giá trị công trình, hạng mục công trình hay phần công việc thực hiện bàn giao chưa có thuế GTGT.
– Đối với hoạt động đại lý, môi giới mua bán hàng hóa và dịch vụ, ủy thác xuất nhập khẩu hưởng tiền công hoặc tiền hoa hồng, giá tính thuế là tiền công, tiền hoa hồng thu được từ các hoạt động này chưa có thuế GTGT.
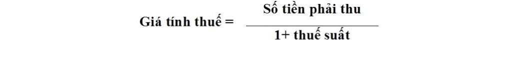
– Đối với hàng hóa, dịch vụ được sử dụng chứng từ thanh toán ghi giá thanh toán là giá đã có thuế GTGT như tem, vé cước vận tải, vé xổ số kiến thiết… thì giá chưa có thuế được xác định như sau:

– Đối với dịch vụ casino, trò chơi điện tử có thưởng, kinh doanh giải trí có đặt cược, là số tiền thu từ hoạt động này đã bao gồm cả thuế tiêu thụ đặc biệt trừ số tiền đã trả thưởng cho khách.

Ví dụ: Cơ sở kinh doanh dịch vụ casino trong kỳ tính thuế có số liệu sau:
+ Số tiền thu được do đổi cho khách hàng trước khi chơi tại quầy đổi tiền là: 56 tỷ đồng.
+ Số tiền đổi trả lại cho khách hàng sau khi chơi là: 12 tỷ đồng.
+ Số tiền cơ sở kinh doanh thực thu: 56 tỷ đồng – 12 tỷ đồng = 44 tỷ đồng
+ Số tiền 36 tỷ đồng là doanh thu của cơ sở kinh doanh đã bao gồm thuế GTGT và thuế TTĐB,
Giá tính thuế GTGT được tính như sau:

– Đối với vận tải, bốc xếp là giá cước vận tải, bốc xếp chưa có thuế GTGT, không phân biệt cơ sở trực tiếp vận tải, bốc xếp hay thuê lại.
– Đối với dịch vụ du lịch theo hình thức lữ hành, hợp đồng ký với khách hàng theo giá trọn gói (ăn, ở, đi lại) thì giá trọn gói được xác định là giá đã có thuế GTGT.
Giá tính thuế được xác định theo công thức sau:

– Đối với dịch vụ cầm đồ, số tiền phải thu từ dịch vụ này bao gồm tiền lãi phải thu từ cho vay cầm đồ và khoản thu khác phát sinh từ việc bán hàng cầm đồ (nếu có) được xác định là giá đã có thuế GTGT.
Giá tính thuế được xác định theo công thức sau:

Ví dụ: Công ty kinh doanh cầm đồ trong kỳ tính thuế có doanh thu cầm đồ là 220 triệu đồng.
Giá tính thuế GTGT được xác định bằng:

8. Thời điểm xác định thuế GTGT
– Đối với bán hàng hóa là thời điểm chuyển giao quyền sở hữu hoặc quyền sử dụng hàng hóa cho người mua, không phân biệt đã thu được tiền hay chưa thu được tiền.
– Đối với cung ứng dịch vụ là thời điểm hoàn thành việc cung ứng dịch vụ hoặc thời điểm lập hóa đơn cung ứng dịch vụ, không phân biệt đã thu được tiền hay chưa thu được tiền.
– Đối với hoạt động cung cấp điện, nước sạch là ngày ghi chỉ số điện, nước tiêu thụ trên đồng hồ để ghi trên hóa đơn tính tiền.
– Đối với hoạt động kinh doanh bất động sản, xây dựng cơ sở hạ tầng, xây dựng nhà để bán, chuyển nhượng hoặc cho thuê là thời điểm thu tiền theo tiến độ thực hiện dự án hoặc tiến độ thu tiền ghi trong hợp đồng. Căn cứ số tiền thu được, cơ sở kinh doanh thực hiện khai thuế GTGT đầu ra phát sinh trong kỳ.
– Đối với xây dựng, lắp đặt, bao gồm cả đóng tàu, là thời điểm nghiệm thu, bàn giao công trình, hạng mục công trình, khối lượng xây dựng, lắp đặt hoàn thành, không phân biệt đã thu được tiền hay chưa thu được tiền.
– Đối với hàng hóa nhập khẩu là thời điểm đăng ký tờ khai hải quan.
9. Thuế suất thuế GTGT
a. Thuế suất 0%
– Áp dụng đối với hàng hóa, dịch vụ xuất khẩu; hoạt động xây dựng, lắp đặt công trình ở nước ngoài và ở trong khu phi thuế quan; vận tải quốc tế; hàng hóa, dịch vụ thuộc diện không chịu thuế GTGT khi xuất khẩu, trừ các trường hợp không áp dụng mức thuế suất 0% theo quy định.
– Hàng hóa, dịch vụ xuất khẩu là hàng hóa, dịch vụ được bán, cung ứng cho tổ chức, cá nhân ở nước ngoài và tiêu dùng ở ngoài Việt Nam; bán, cung ứng cho tổ chức, cá nhân trong khu phi thuế quan; hàng hóa, dịch vụ cung cấp cho khách hàng nước ngoài theo quy định của pháp luật.
b. Thuế suất 5%
– Nước sạch phục vụ sản xuất và sinh hoạt, không bao gồm các loại nước uống đóng chai, đóng bình và các loại nước giải khát khác thuộc đối tượng áp dụng mức thuế suất 10%.
– Quặng để sản xuất phân bón; thuốc phòng trừ sâu bệnh và chất kích thích tăng trưởng vật nuôi, cây trồng.
– Dịch vụ đào đắp, nạo vét kênh, mương, ao hồ phục vụ sản xuất nông nghiệp; nuôi trồng, chăm sóc, phòng trừ sâu bệnh cho cây trồng; sơ chế, bảo quản sản phẩm nông nghiệp.
– Sản phẩm trồng trọt, chăn nuôi, thủy sản, hải sản chưa qua chế biến hoặc chỉ qua sơ chế, bảo quản.
– Sản phẩm trồng trọt chưa qua chế biến hướng dẫn tại khoản này bao gồm cá thóc, gạo, ngô, khoai, sắn, lúa mỳ.
– Mủ cao su sơ chế như mủ cờ rếp, mủ tờ, mủ bún, mủ cốm; nhựa thông sơ chế; lưới, dây giềng và sợi để đan lưới đánh cá bao gồm các loại lưới đánh cá, các loại sợi, dây giềng loại chuyên dùng để đan lưới đánh cá không phân biệt nguyên liệu sản xuất.
– Thực phẩm tươi sống ở khâu kinh doanh thương mại; lâm sản chưa qua chế biến ở khâu kinh doanh thương mại, trừ gỗ, măng.
+ Thực phẩm tươi sống gồm các loại thực phẩm chưa được làm chín hoặc chế biến thành sản phẩm khác, chỉ sơ chế dưới dạng làm sạch, bóc vỏ, cắt, đông lạnh, phơi khô mà qua sơ chế vẫn còn là thực phẩm tươi sống như thịt gia súc, gia cầm, tôm, cua, cá và các sản phẩm thủy sản, hải sản khác. Trường hợp thực phẩm đã qua tẩm ướp gia vị thì áp dụng thuế suất 10%.
+ Lâm sản chưa qua chế biến bao gồm các sản phẩm từ rừng tự nhiên khai thác thuộc nhóm: song, mây, tre, nứa, luồng, nấm, mộc nhĩ; rễ, lá, hoa, cây làm thuốc, nhựa cây và các loại lâm sản khác.
Ví dụ: Công ty TNHH Minh Huy sản xuất cá bò tươi tẩm gia vị theo quy trình: cá bò tươi đánh bắt về được cắt phi-lê, sau đó tẩm ướp với đường, muối, solpitol, đóng gói, cấp đông thì mặt hàng cá bò tươi tẩm gia vị không thuộc đối tượng áp dụng thuế suất 5% mà thuộc đối tượng áp dụng thuế suất thuế GTGT 10%.
– Đường; phụ phẩm trong sản xuất đường, bao gồm gỉ đường, bã mía, bã bùn.
– Sản phẩm bằng đay, cói, tre, song, mây, trúc, chít, nứa, luồng, lá, rơm, vỏ dừa, sọ dừa, bèo tây và các sản phẩm thủ công khác sản xuất bằng nguyên liệu tận dụng từ nông nghiệp là các loại sản phẩm được sản xuất, chế biến từ nguyên liệu chính là đay, cói, tre, song, mây, trúc, chít, nứa, luồng, lá.
– Thiết bị, dụng cụ y tế gồm máy móc và dụng cụ chuyên dùng cho y tế.
– Giáo cụ dùng để giảng dạy và học tập bao gồm các loại mô hình, hình vẽ, bảng, phấn, thước kẻ, com-pa và các loại thiết bị, dụng cụ chuyên dùng cho giảng dạy, nghiên cứu, thí nghiệm khoa học.
– Hoạt động văn hóa, triển lãm, thể dục, thể thao; biểu diễn nghệ thuật; sản xuất phim.
– Bán, cho thuê, cho thuê mua nhà ở xã hội theo quy định của Luật nhà ở. Nhà ở xã hội là nhà ở do Nhà nước hoặc tổ chức, cá nhân thuộc các thành phần kinh tế đầu tư xây dựng và đáp ứng các tiêu chí về nhà ở, về giá bán nhà, về giá cho thuê, về giá cho thuê mua, về đối tượng, điều kiện được mua, được thuê, được thuê mua nhà ở xã hội theo quy định của pháp luật về nhà ở.
c. Thuế suất 10%
– Áp dụng với các loại hàng hóa còn lại.phương pháp tính thuế gtgt (chọn 1 trong 4 phương pháp) Hàng may mặc áp dụng thuế suất là 10% thì mặt hàng này ở khâu nhập khẩu, sản xuất, gia công hay kinh doanh thương mại đều áp dụng thuế suất 10%.
– Phế liệu, phế phẩm được thu hồi để tái chế, sử dụng lại khi bán ra áp dụng mức thuế suất thuế GTGT theo thuế suất của mặt hàng phế liệu, phế phẩm bán ra.
– Cơ sở kinh doanh nhiều loại hàng hóa, dịch vụ có mức thuế suất GTGT khác nhau phải khai thuế GTGT theo từng mức thuế suất quy định đối với từng loại hàng hóa, dịch vụ; nếu cơ sở kinh doanh không xác định theo từng mức thuế suất thì phải tính và nộp thuế theo mức thuế suất cao nhất của hàng hóa, dịch vụ mà cơ sở sản xuất, kinh doanh.
